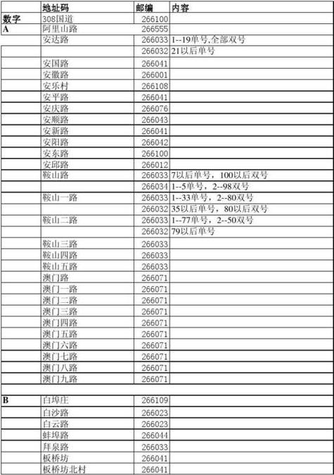
洋浦经济开发区的邮政编码是 578001。

(图片来源网络,侵删)
这个邮政编码覆盖了洋浦经济开发区的主要区域,包括行政中心、商业区、港口以及主要的居民区等。
补充信息:
-
详细地址格式建议: 在填写地址时,为了确保邮件能准确送达,建议采用以下格式:
收件人:[收件人姓名] 省份:海南省 市/区:儋州市 (洋浦经济开发区隶属于儋州市代管) 详细地址:[具体的街道、小区、楼号、单元号等] 邮政编码:578001 联系电话:[收件人电话号码] -
地理位置: 洋浦经济开发区位于海南省西部的儋州市境内,是中国唯一的省级经济开发区,也是海南自由贸易港建设的重点先行区之一。
(图片来源网络,侵删)
无论您是寄信件、包裹还是快递,只要收件地址在洋浦经济开发区,使用邮政编码 578001 都能确保邮件被准确地分拣和投递。

(图片来源网络,侵删)
标签: 洋浦经济开发区邮政编码查询 洋浦经济开发区邮编多少 洋浦经济开发区邮编是多少
版权声明:除非特别标注,否则均为本站原创文章,转载时请以链接形式注明文章出处。